伽马射线暴(GRBs)的瞬时辐射能谱通常被认为是由非热辐射成分主导的,可以用光滑链接的拐折幂律函数(Band函数)拟合。然而,随着高质量观测数据的积累,GRB 能谱结构呈现出显著的多样性。这种复杂性揭示了可能存在多个粒子加速区域和辐射区域,从而推动了对伽马射线暴辐射机制的深入研究。这种多样性为探究不同物理过程和环境条件下的能谱特性提供了新的契机。
基于模拟分析和最近的观测,在本文中我们提出GRB 射流具有由窄的极端相对论性核心和宽的亚相对论性茧组成的结构。我们表明,混合喷射-茧(MJC)区域中的剪切加速电子与核心中内部冲击加速电子产生的同步辐射及同步自康普顿(SSC)辐射,可有效解释瞬时伽马射线的光谱特征。
图1:喷流-茧结构示意图
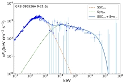
假设呈指数衰减速度分布,如果MJC区域磁场强度为100 G,内边缘速度为0.9c,则MJC区域的剪切流可以将注入的γe=300的电子加速到γe,max=104。这些电子的冷却主要由SSC过程控制,发射通量峰值在keV带。同时,假设喷流核心体洛伦兹因子为300,射流核心的磁场强度为10⁶G,内激波加速电子(γe=10⁴—10⁵)的同步辐射能量通量在keV−MeV带附近达到峰值。将射流核心和MJC区域的通量相加,总光谱能量分布(SED)显示出与伽马射线暴宽带观测相似的特征。我们提出的模型对GRBs 090926A、131108A和160509A中观察到的类双峰和Band函数截断式光谱进行了很好地描述。

图2:GRBs 090926A、131108A和160509A的数据点和模型曲线
论文题目:Shear Particle Acceleration in Structured Gamma-Ray Burst Jets: I. Physical Origin of the Band Function and Application to GRBs 090926A, 131108A, and 160509A
相关成果已被《The Astrophysical Journal》杂志接收
论文作者:王子祺(博士生),黄晓利(通讯作者),梁恩维(通讯作者)
论文链接: //doi.org/10.48550/arXiv.2411.11234