我院天体物理光学AGN团组在天文学期刊《ApJ》上发表了题为“A candidate for True Type-2 AGN without hidden central BLRs Identified by central Tidal Disruption Event”的SCI文章。
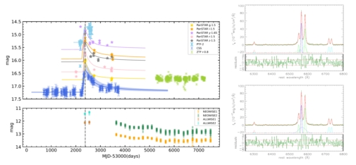
在该项工作中,基于光变特征和光谱特征,我们首次基于TDE的特性,进行了一个True type-2 AGN(TT2AGN)的证认,可以看到中心核区,但是中心并没有BLRs的存在。该类特殊的TT2AGN将在统一模型的验证中发挥一定的效力,且可以为BLRs的诞生和消亡提供基础信息。后续关于TT2AGN的研究正在有序进行中。

Fig.1: Left panel shows the light curves and the TDE model determined best descriptions. Right panel shows the emission line features around Hα.
中文题目:基于中心TDE光变特征以及观测光谱特征对TT2AGN的证认
论文作者:顾莹(博士研究生)、郑琪(联培博士研究生)、程培祯(硕士研究生)、李啸(博士研究生)、陈兴黔(硕士研究生)、张雪光(通信作者)、梁恩维(通讯作者)
发表期刊:Astrophysical Journal in press