2025年学术进展系列之65:圣淘沙赌场官网
天体物理团队硕士研究生黎国宇与导师林达斌在对伽马射线暴光球层辐射的研究中取得进展
近日,圣淘沙赌场官网
硕士研究生黎国宇和导师林达斌合作在对伽马射线暴(GRB)光球层辐射的研究中取得进展,研究成果以“Radiation Spectrum of the Photospheric Emission for a Turbulent Relativistic Jet”为题发表在期刊《The Astrophysical Journal》上。
伽马射线暴是宇宙中最剧烈的电磁辐射现象,其瞬时辐射的物理起源一直是未解之谜。光球层辐射模型认为GRB的瞬时辐射可能来自相对论性运动喷流的光球层,但观测上仅少数GRB能谱能明显显示出谱型偏窄的黑体辐射特征,而大多数GRB的能谱谱型偏宽,可用Band函数来描述,其具有典型低能谱指数α∼-0.8、高能谱指数β∼-2.3。该研究通过蒙特卡洛辐射转移(MCRaT)模拟,系统探讨了光球层下方湍流对辐射谱的重塑作用。研究发现,湍流能够通过随机散射将低能光子加速到高能区间,从而增强高能辐射强度,并可能形成与观测相符的Band-like能谱。这一机制为解决光球层辐射模型谱宽不足的难题提供了新途径。
研究重点分析了湍流在光子与电子弱耦合区域的作用。图1展示了光子热化过程随喷流半径的演化:通过对比光子平均能量与电子温度的变化,发现光子在光球层下方广泛区域内存在弱热化效应,支持湍流对辐射场的有效扭曲。

图1:光子平均能量与电子温度随半径演化。
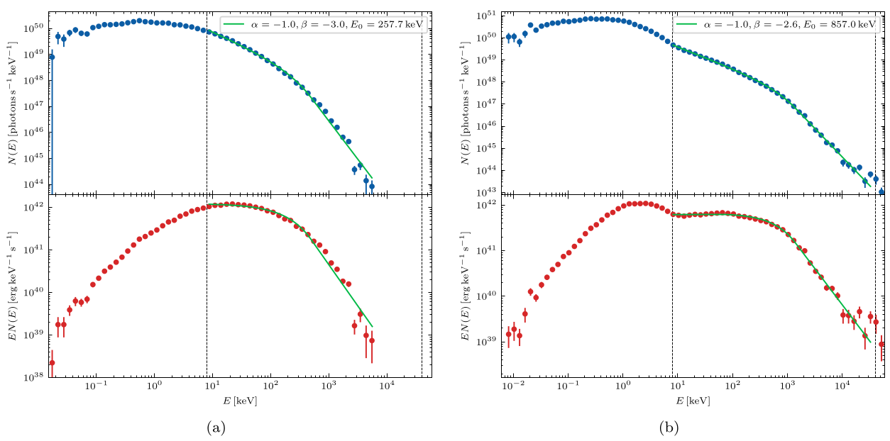
图2进一步展示了湍流模型重现典型GRB能谱特征:通过调节湍流的参数,能够在Fermi卫星能段(8keV—40MeV)内产生与多数观测数据一致的低能谱指数α∼-0.8、高能谱指数β∼-2.3的Band-like谱。

图2:两个复现Band-like辐射谱的模拟案例
论文作者:黎国宇(硕士研究生),林达斌(通讯作者),陈志琳(博士研究生),梁恩维。
论文链接://doi.org/10.3847/1538-4357/adf21e